Hippo's data
퀵 정렬(Quick Sort) 알고리즘 본문
오늘은 퀵정렬(Quick Sort) 알고리즘에 대해 알아보겠습니다!
퀵정렬은 여러 정렬 알고리즘 중 하나로 이름에서도 알 수 있듯이 빠른(Quick) 속도를 보이는 알고리즘입니다!!
# 특징
- 정렬 알고리즘
- 비교 정렬: 다른 원소와 비교를 통해 정렬 수행
- 1959년 토니 호어(Tony Hoare)에 의해 개발
- 분할 정복(Divide and Conquer) 방식
: 나열된 수를 두개로 분할하여 각각을 해결한 후, 결과를 모아서 원래 문제를 해결
# 동작 원리
퀵정렬을 한문장으로 정의하면 이렇게 표현할 수 있습니다!
"pivot 값을 선정해 해당 값을 기준으로 정렬하는 방식"
동작은 크게 3가지로 확인할 수 있는데욥
1. 리스트(나열된 숫자)에서 기준값( = pivot) 선택
2. 기준값( = pivot)과 값을 비교하며 기준값( = pivot)보다 작은 값은 왼쪽, 큰 값은 오른쪽으로 이동
3. 기준값( = pivot)을 제외한 왼쪽과 오른쪽 리스트(나열된 숫자)에 대해 (재귀적으로) 계속 반복
(더 이상 비교할 수가 존재하지 않을 시 종료)
### 기준값( = pivot) 선정 기준에 따라 다양한 방식이 존재함
EX) random, 중앙값, 왼쪽 값, 오른쪽 값, 피벗2개 사용 등등

간단한 그림으로 도식화 해보았는데욥! 이와같이 나열된 리스트에서 기준값( = pivot)과 비교하며 작은수는 왼쪽, 큰수는 오른쪽으로 계속 분할하며 정렬되는 알고리즘입니다!!!
간단한 예제를 들어 확인해 보겠습니다!
예제 : 5, 3, 8, 4, 9, 1, 6, 2, 7

예제에서는 기준값( = pivot)을 제일 왼쪽 수로 선정하였는데욥 노란색이 설정한 기준값( = pivot)이며, 빨간색이 분할 후 빨간색을 의미합니다!
최초 5, 3, 8, 4, 9, 1, 6, 2, 7에서 기준값 5를 제외한후, 리스트를 순환하며 기준값보다 큰수는 왼쪽, 작은수는 오른쪽에 위치시키면 3,4,1,2 / 5 / 8,9,6,7 세 부분으로 분할됩니다
이 경우 5는 정렬이 완료된 상태이며 나머지 3,4,1,2 / 8,9,6,7 두 리스트에 대해서도 똑같이 기준값 선택, 리스트 순환을 진행합니다
분할된 부분이 더 이상 비교할 값이 없는 경우, 분할을 중지하며 해당 값은 정렬이 완료된 값이 됩니다!
최종적으로 정렬이 완료된 값(빨간색 값)을 나열하면 1,2,3,4,5,6,7,8,9로 오름차순 정렬이 완료됩니다
# Python 코드
1. 직관적으로 파이써닉하게 구현 - 추가공간 필요
pivot을 선택하는 다양한 방법을 적용할 수 있습니다!
-> 마지막을 피벗으로 선택
-> 중앙값을 피벗으로 선택
-> 랜덤값을 피벗으로 선택
+2개 피벗 사용 등등 다양한 전략들이 존재함
2. 구현이 복잡하지만 추가공간 거의 필요 없음
### 주의할점
while low <= right and A[low] < pivot: # low를 오른쪽으로 이동 (피벗보다 큰 원소 찾기)
low += 1
while high >= left and A[high] > pivot: # high를 왼쪽으로 이동 (피벗보다 작은 원소 찾기)
high -= 1
해당부분을 아래와 같이 표현시 동일한 값이 연속으로 등장할 경우 무한루프에 빠질 수 있습니다!!
반례) [2, 2, 3, 5, 6, 70]
pivot = 2 (첫 번째 원소)
low는 두 번째 2에서 멈춤 (A[low] = 2이므로)
high는 계속해서 오른쪽에서 왼쪽으로 이동하는데, A[high]가 모두 pivot보다 크거나 같아서 결국 pivot 위치까지 이동하게됨
해당 과정이 계속 반복되어 무한루프에 빠짐
# 성능분석 - 시간복잡도
시간복잡도는 3가지 종류가 있는데욥 1. 최선인 경우(Best) 2. 평균적인 경우(Average) 3. 최악의 경우(Worst)가 있습니다.
1. 최선인 경우(Best) = O(n logn)
2. 평균적인 경우(Average) = O(n logn)
3. 최악의 경우(Worst) = O(𝑛^𝟐)
1. 최선인 경우(Best) = O(n logn)
퀵 정렬의 시간복잡도는 분할된 깊이와 비교연산의 곱으로 표현할 수 있는데욥!
최선의 경우에는 매번 절반 정도로 분할될 시 배열이 절반씩 나눠지므로 재귀 호출의 깊이가 얕아지고, 분할의 깊이가 제일 얕아집니다. 즉, 밑이 2인 logn으로 표현이 가능합니다!
각 분할에서의 비교 연산의 수는 매번 n번 씩 비교하게 되므로
분할된 깊이 X 비교 연산수 = logn X n = O(n logn)

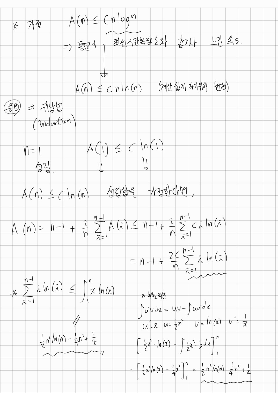
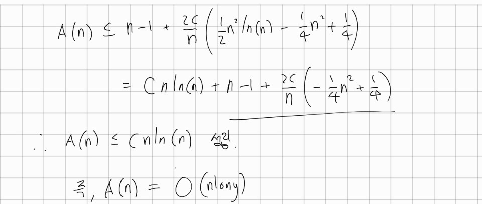
2. 평균적인 경우(Average) = O(n logn)
평균적인 경우에는 재귀적인 식을 수학적으로 증명할 수 있습니다!



3. 최악의 경우(Worst) = O(𝑛^𝟐)

최악의 경우에는 이미 정렬이 되어 있는 경우에 정렬을 하는 상황인데욥!
오름차순으로 정렬된 경우 기준값을 처음/ 내림차순으로 정렬된 경우 기준값을 나중으로 지정할 시, 최악의 경우가 발생합니다!
매 분할마다 기준값을 기준으로 양쪽 두개의 리스트가 생겨야 하지만 최악의 경우에는 한쪽만 존재하게 됩니다
또한 분할마다 하나의 값이 정해지므로 모든 값을 정렬하기 위해서는 총 n개의 분할이 생겨야 하며,
각 분할에서의 비교 연산 수는 n이므로
분할된 깊이 X 비교 연산수 = ∑(k-1) = n(n-1) / 2= O(𝑛^𝟐)
# 역설적인 동작
역설적으로 삽입정렬(insertion)은 정렬되어 있는 경우 정렬시 O(n)으로 빠른 속도를 보이지만, 퀵정렬(quick)은 정렬되어 있는 경우 O(𝑛^𝟐)의 느린 속도를 보입니다!!
책장 정리시 책이 잘 꽂혀 있는 상태에서 추가적으로 정리할 때, 더 빨리 정리할 수 있는 삽입정렬(insertion)이 더 인간의 직관에 더 맞는 정렬방법같네욯ㅎㅎㅎ
퀵정렬(quick)은 잘 꽂혀있는 책을 다시 어지럽힌 다음에 처음부터 다시 정리해야 더 빠른 속도를 낸다는 식인데 사실 직관에 반대되는 정렬방법이죠,,,
# 정렬 알고리즘 비교
다음은 대표적인 정렬 알고리즘의 시간복잡도를 비교한 표입니다!
퀵 정렬은 정렬 알고리즘 중에서도 뛰어난 성능을 보여줍니다!

# reference
컴퓨터 알고리즘. (2006). 대한민국: 도서출판 홍릉(홍릉과학출판사).
Baase, S., Van Gelder, A. (1999). Computer Algorithms: Introduction to Design and Analysis, 3rd Edition. 인도: Addison-Wesley.
'Algorithm > 알고리즘 이론(Algorithm theory)' 카테고리의 다른 글
| 삽입 정렬 (Insertion Sort) 알고리즘 (4) | 2024.11.09 |
|---|---|
| 선택 정렬 (Selection Sort) 알고리즘 (4) | 2024.11.09 |
| 비교정렬 시간 성능의 하한(lower bound): O(nlogn) (0) | 2024.10.29 |
| 우선순위 큐 구현 (PriorityQueue, Heap) (2) | 2024.10.03 |
| 투 포인터(Two Pointer) 알고리즘 (5) | 2024.09.07 |